Официальное опубликование правовых актов
ОФИЦИАЛЬНОЕ ОПУБЛИКОВАНИЕ
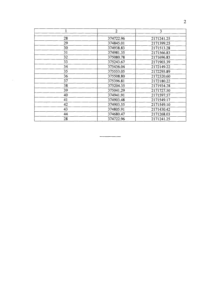
Приказ Министерства транспорта и дорожного хозяйства Республики Марий Эл от 30.11.2020 № 115-н
"Об установлении придорожных полос автомобильной дороги общего пользования республиканского значения Республики Марий Эл Куракино - Осиялы на территории Параньгинского района Республики Марий Эл"
(Зарегистрирован 03.12.2020 № 120620200115)
Номер опубликования: 1201202012110009
Дата опубликования: 11.12.2020
Страница №5 из 6:
Увеличить