Официальное опубликование правовых актов
ОФИЦИАЛЬНОЕ ОПУБЛИКОВАНИЕ
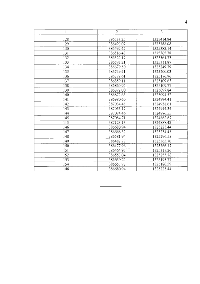
Приказ Министерства транспорта и дорожного хозяйства Республики Марий Эл от 29.09.2020 № 34-н
"Об установлении придорожных полос автомобильной дороги общего пользования республиканского значения Республики Марий Эл Ерошкино - Тумьюмучаш - Конганур на территории Куженерского района Республики Марий Эл"
(Зарегистрирован 07.10.2020 № 120620200035)
Номер опубликования: 1201202010100006
Дата опубликования: 10.10.2020
Страница №7 из 8:
Увеличить