Официальное опубликование правовых актов
ОФИЦИАЛЬНОЕ ОПУБЛИКОВАНИЕ
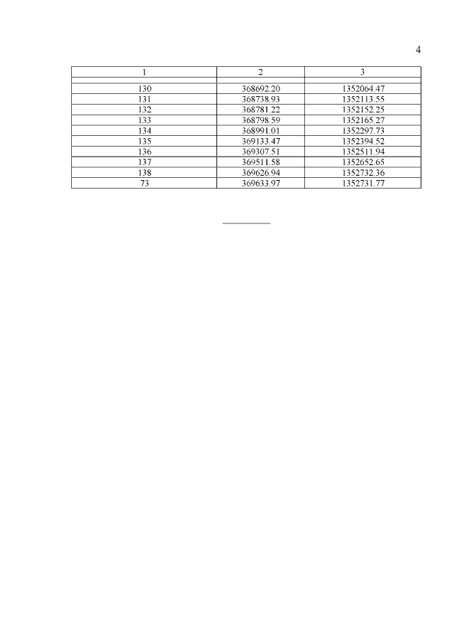
Приказ Министерства транспорта и дорожного хозяйства Республики Марий Эл от 17.08.2020 № 23-н
"Об установлении границ придорожных полос автомобильной дороги общего пользования республиканского значения Республики Марий Эл Аганур - Саламатнур на территории Куженерского района Республики Марий Эл и установлении особого режима использования земельных участков в границах придорожных полос"
(Зарегистрирован 21.08.2020 № 120620200024)
Номер опубликования: 1201202008240004
Дата опубликования: 24.08.2020
Страница №7 из 8:
Увеличить