Официальное опубликование правовых актов
ОФИЦИАЛЬНОЕ ОПУБЛИКОВАНИЕ
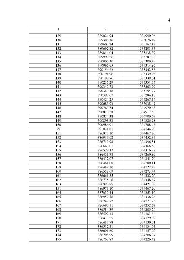
Приказ Министерства транспорта и дорожного хозяйства Республики Марий Эл от 13.08.2020 № 20-н
"Об установлении границ придорожных полос автомобильной дороги общего пользования республиканского значения Республики Марий Эл Куженер - Токтайбеляк на территории Куженерского района Республики Марий Эл и установлении особого режима использования земельных участков в границах придорожных полос"
(Зарегистрирован 20.08.2020 № 120620200020)
Номер опубликования: 1201202008210002
Дата опубликования: 21.08.2020
Страница №7 из 9:
Увеличить