Официальное опубликование правовых актов
ОФИЦИАЛЬНОЕ ОПУБЛИКОВАНИЕ
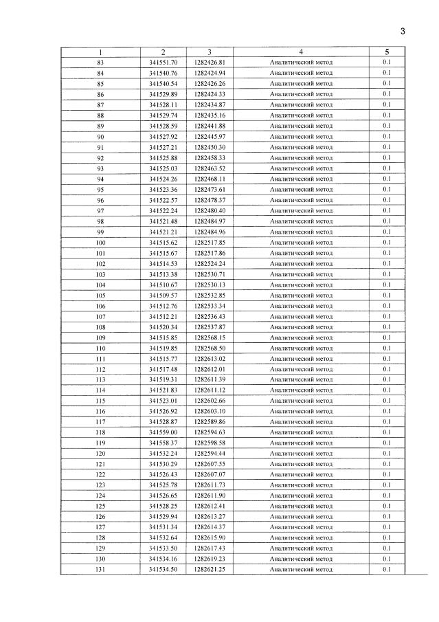
Приказ Министерства строительства, архитектуры и жилищно-коммунального хозяйства Республики Марий Эл от 28.10.2019 № 419
"Об утверждении границ охранных зон газораспределительных сетей и наложении ограничений (обременений) на входящие в них земельные участки"
(Зарегистрирован 06.11.2019 № 120920190027)
Номер опубликования: 1201201911070003
Дата опубликования: 07.11.2019
Страница №7 из 9:
Увеличить