Официальное опубликование правовых актов
ОФИЦИАЛЬНОЕ ОПУБЛИКОВАНИЕ
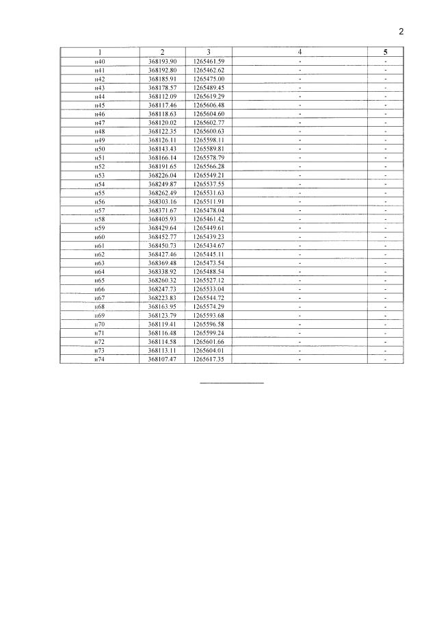
Приказ Министерства строительства, архитектуры и жилищно-коммунального хозяйства Республики Марий Эл от 19.08.2019 № 329
"Об утверждении границ охранных зон газораспределительных сетей и наложении ограничений (обременений) на входящие в них земельные участки"
(Зарегистрирован 23.08.2019 № 120920190018)
Номер опубликования: 1201201908260004
Дата опубликования: 26.08.2019
Страница №25 из 64:
Увеличить