Официальное опубликование правовых актов
ОФИЦИАЛЬНОЕ ОПУБЛИКОВАНИЕ
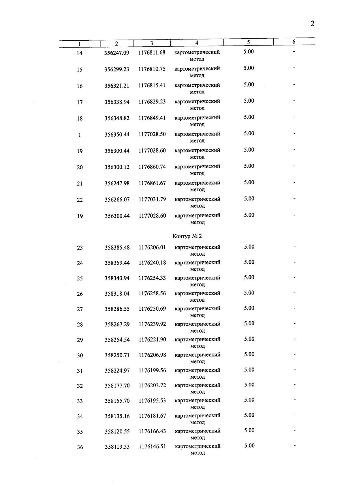
Указ Главы Республики Марий Эл от 23.01.2026 № 4
"Об установлении охранных зон памятников природы республиканского значения Республики Марий Эл"
Номер опубликования: 1200202601290002
Дата опубликования: 29.01.2026
Страница №70 из 609:
Увеличить