Официальное опубликование правовых актов
ОФИЦИАЛЬНОЕ ОПУБЛИКОВАНИЕ
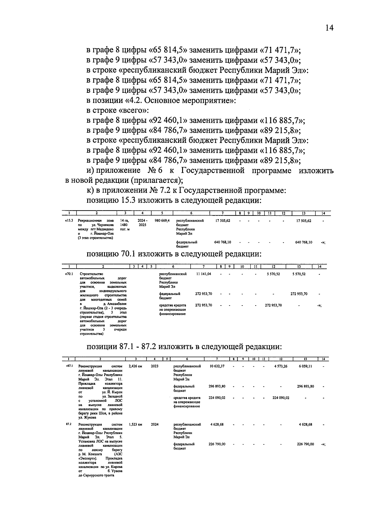
Постановление Правительства Республики Марий Эл от 31.10.2023 № 534
"О внесении изменений в постановление Правительства Республики Марий Эл от 25 декабря 2012 г. № 475"
Номер опубликования: 1200202311020005
Дата опубликования: 02.11.2023
Страница №14 из 41:
Увеличить