Официальное опубликование правовых актов
ОФИЦИАЛЬНОЕ ОПУБЛИКОВАНИЕ
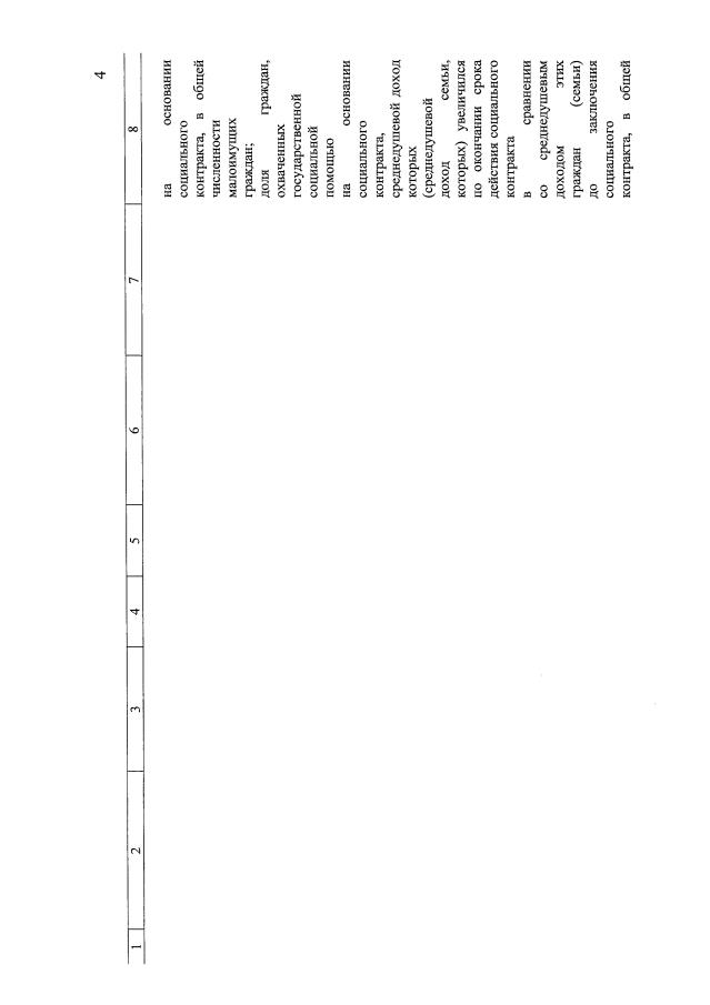
Постановление Правительства Республики Марий Эл от 27.04.2022 № 198
"О внесении изменений в постановление Правительства Республики Марий Эл от 30 ноября 2012 г. № 450"
Номер опубликования: 1200202204280005
Дата опубликования: 28.04.2022
Страница №39 из 240:
Увеличить