Официальное опубликование правовых актов
ОФИЦИАЛЬНОЕ ОПУБЛИКОВАНИЕ
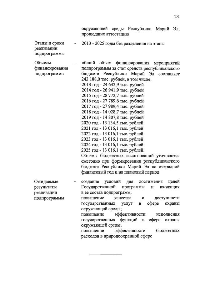
Постановление Правительства Республики Марий Эл от 17.04.2019 № 119
"О внесении изменений в постановление Правительства Республики Марий Эл от 15 октября 2012 г. № 398"
Номер опубликования: 1200201904190004
Дата опубликования: 19.04.2019
Страница №24 из 92:
Увеличить