Официальное опубликование правовых актов
ОФИЦИАЛЬНОЕ ОПУБЛИКОВАНИЕ
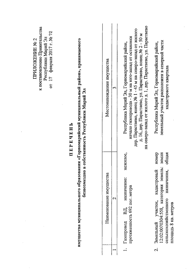
Постановление Правительства Республики Марий Эл от 17.02.2017 № 72
"О принятии муниципального имущества в собственность Республики Марий Эл"
Номер опубликования: 1200201702200002
Дата опубликования: 20.02.2017
Страница №3 из 83:
Увеличить