Официальное опубликование правовых актов
ОФИЦИАЛЬНОЕ ОПУБЛИКОВАНИЕ
Приказ Министерства труда, занятости и социальной защиты Республики Коми от 27.02.2023 № 258
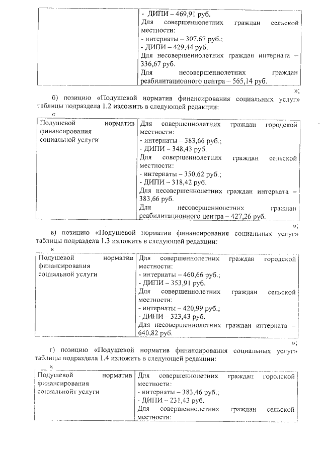
"О внесении изменений в приказ Министерства труда, занятости и социальной защиты Республики Коми от 5 февраля 2016 № 237 "Об утверждении Порядка предоставления социальных услуг в стационарной форме социального обслуживания поставщиками социальных услуг"
(Зарегистрирован 27.02.2023 № 1320230007)
Номер опубликования: 1101202302280002
Дата опубликования: 28.02.2023
Страница №2 из 16:
Увеличить