Официальное опубликование правовых актов
ОФИЦИАЛЬНОЕ ОПУБЛИКОВАНИЕ
Приказ Министерства природных ресурсов и охраны окружающей среды Республики Коми от 02.02.2021 № 128
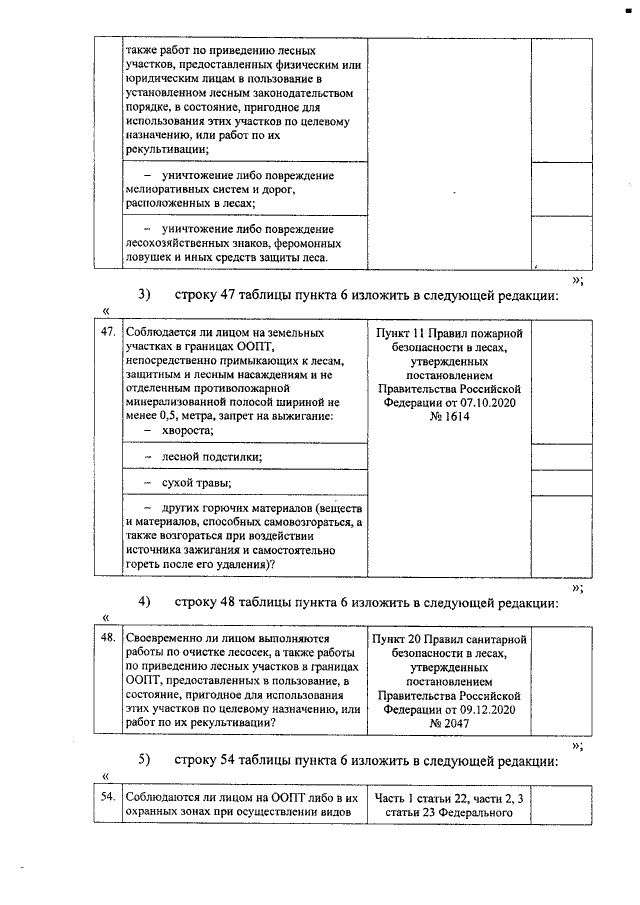
"О внесении изменений в приказ Министерства природных ресурсов и охраны окружающей среды Республики Коми от 16 августа 2019 г. № 1332 "Об утверждении формы проверочного листа (списка контрольных вопросов), применяемой в ходе плановых проверок юридических лиц и индивидуальных предпринимателей при осуществлении регионального государственного надзора в области охраны и использования особо охраняемых природных территорий регионального (республиканского) значения"
Номер опубликования: 1101202102050001
Дата опубликования: 05.02.2021
Страница №3 из 4:
Увеличить