Официальное опубликование правовых актов
ОФИЦИАЛЬНОЕ ОПУБЛИКОВАНИЕ
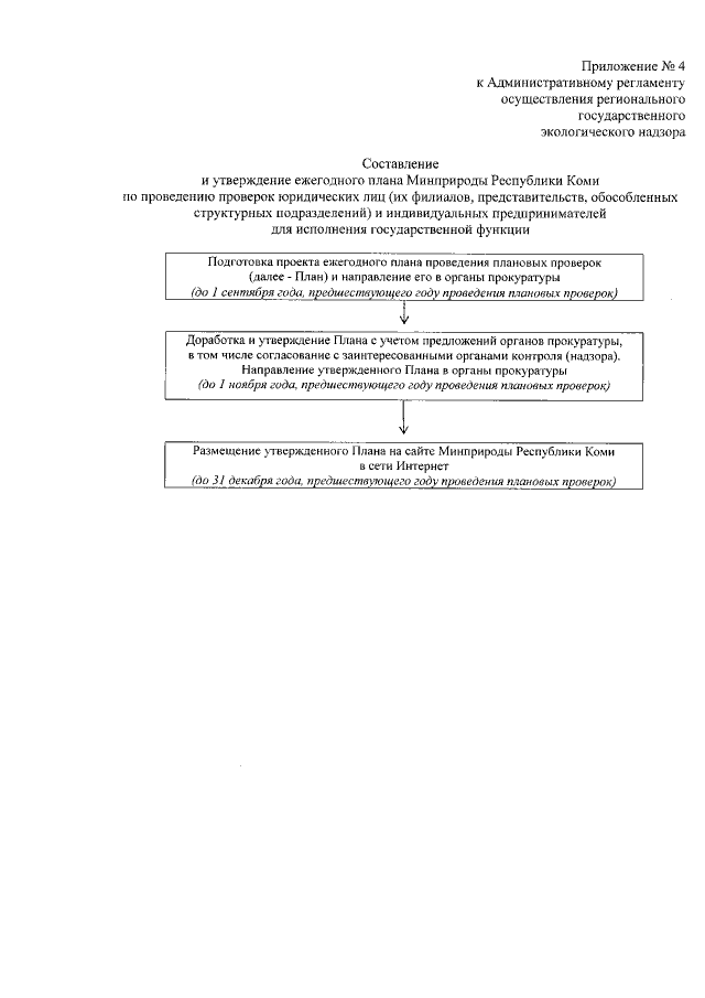
Приказ Министерства природных ресурсов и охраны окружающей среды Республики Коми от 27.02.2019 № 312
"Об утверждении административного регламента осуществления регионального государственного экологического надзора"
Номер опубликования: 1101201903040001
Дата опубликования: 04.03.2019
Страница №74 из 86:
Увеличить