Официальное опубликование правовых актов
ОФИЦИАЛЬНОЕ ОПУБЛИКОВАНИЕ
Приказ Министерства труда, занятости и социальной защиты Республики Коми от 28.01.2019 № 130
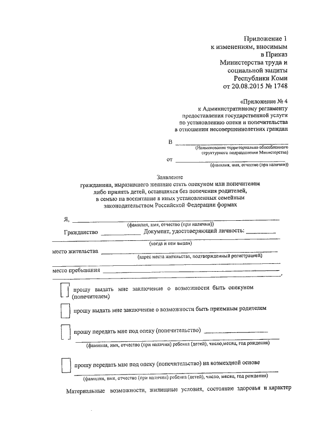
"О внесении изменений в приказ Министерства труда и социальной защиты Республики Коми от 20 августа 2015 г. № 1748 "Об утверждении административного регламента предоставления государственной услуги по установлению опеки и попечительства в отношении несовершеннолетних граждан"
Номер опубликования: 1101201901310002
Дата опубликования: 31.01.2019
Страница №31 из 48:
Увеличить