Официальное опубликование правовых актов
ОФИЦИАЛЬНОЕ ОПУБЛИКОВАНИЕ
Приказ Министерства труда, занятости и социальной защиты Республики Коми от 27.12.2018 № 2026
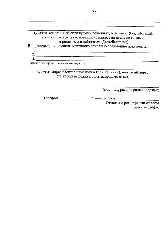
"О внесении изменений в приказ Министерства труда, занятости и социальной защиты Республики Коми от 17 апреля 2017 г. № 696 " Об утверждении Административного регламента предоставления государственной услуги по возмещению лицам, страдающим онкологическими заболеваниями, проживающим в труднодоступных местностях Республики Коми, расходов на проезд к месту обследования и лечения онкологических заболеваний в медицинские организации Республики Коми, оказывающие специализированную онкологическую помощь, и обратно"
Номер опубликования: 1101201812290005
Дата опубликования: 29.12.2018
Страница №36 из 36:
Увеличить