Официальное опубликование правовых актов
ОФИЦИАЛЬНОЕ ОПУБЛИКОВАНИЕ
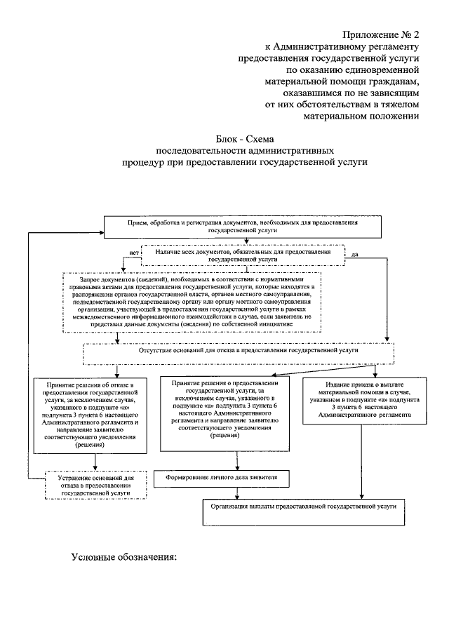
Приказ Министерства труда, занятости и социальной защиты Республики Коми от 11.12.2018 № 1897
"О ВНЕСЕНИИ ИЗМЕНЕНИЙ В ПРИКАЗ АГЕНТСТВА РЕСПУБЛИКИ КОМИ ПО СОЦИАЛЬНОМУ РАЗВИТИЮ ОТ 21 НОЯБРЯ 2012 Г. № 2565 "ОБ УТВЕРЖДЕНИИ АДМИНИСТРАТИВНОГО РЕГЛАМЕНТА ПРЕДОСТАВЛЕНИЯ ГОСУДАРСТВЕННОЙ УСЛУГИ ПО ОКАЗАНИЮ ЕДИНОВРЕМЕННОЙ МАТЕРИАЛЬНОЙ ПОМОЩИ ГРАЖДАНАМ, ОКАЗАВШИМСЯ ПО НЕ ЗАВИСЯЩИМ ОТ НИХ ОБСТОЯТЕЛЬСТВАМ В ТЯЖЕЛОМ МАТЕРИАЛЬНОМ ПОЛОЖЕНИИ"
Номер опубликования: 1101201812130002
Дата опубликования: 13.12.2018
Страница №51 из 52:
Увеличить