Официальное опубликование правовых актов
ОФИЦИАЛЬНОЕ ОПУБЛИКОВАНИЕ
Приказ Министерства труда, занятости и социальной защиты Республики Коми от 04.07.2018 № 996
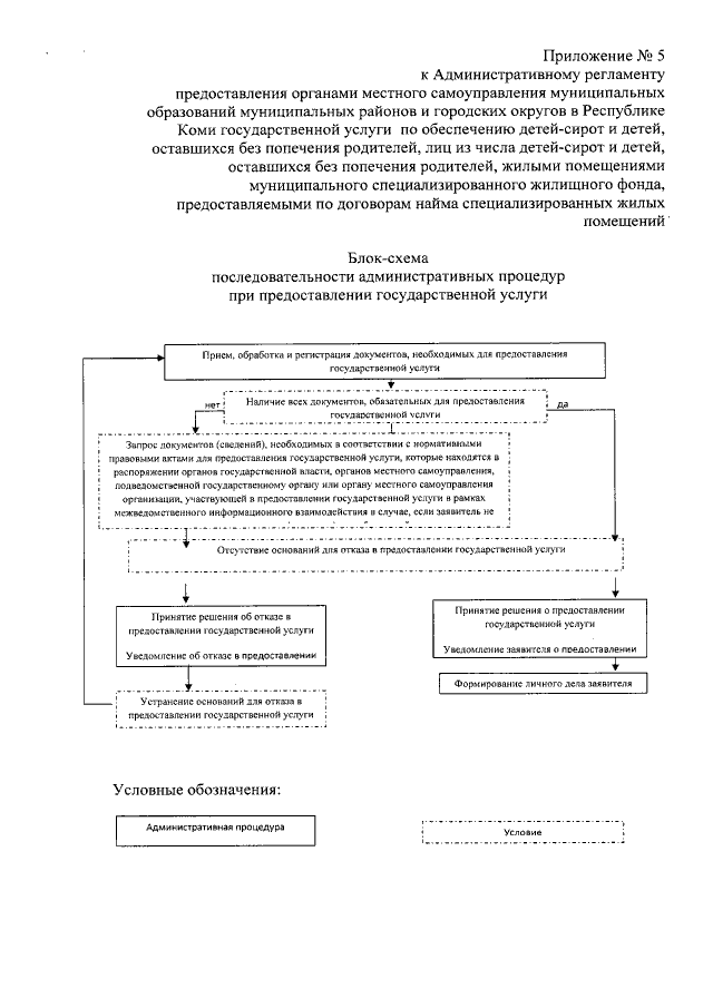
"Об утверждении Административного регламента предоставления органами местного самоуправления муниципальных образований муниципальных районов и городских округов в Республике Коми государственной услуги по обеспечению детей-сирот и детей, оставшихся без попечения родителей, лиц из числа детей-сирот и детей, оставшихся без попечения родителей, жилыми помещениями муниципального специализированного жилищного фонда, предоставляемыми по договорам найма специализированных жилых помещений"
Номер опубликования: 1101201807060001
Дата опубликования: 06.07.2018
Страница №59 из 64:
Увеличить