Официальное опубликование правовых актов
ОФИЦИАЛЬНОЕ ОПУБЛИКОВАНИЕ
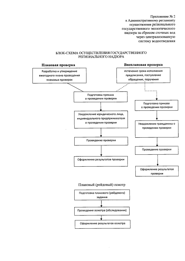
Приказ Министерства промышленности, природных ресурсов, энергетики и транспорта Республики Коми от 26.10.2017 № 2266
"Об утверждении Административного регламента осуществления регионального государственного экологического надзора за сбросом сточных вод через централизованную систему водоотведения"
Номер опубликования: 1101201711010001
Дата опубликования: 01.11.2017
Страница №53 из 77:
Увеличить