Официальное опубликование правовых актов
ОФИЦИАЛЬНОЕ ОПУБЛИКОВАНИЕ
Приказ Министерства промышленности, природных ресурсов, энергетики и транспорта Республики Коми от 27.06.2017 № 1337
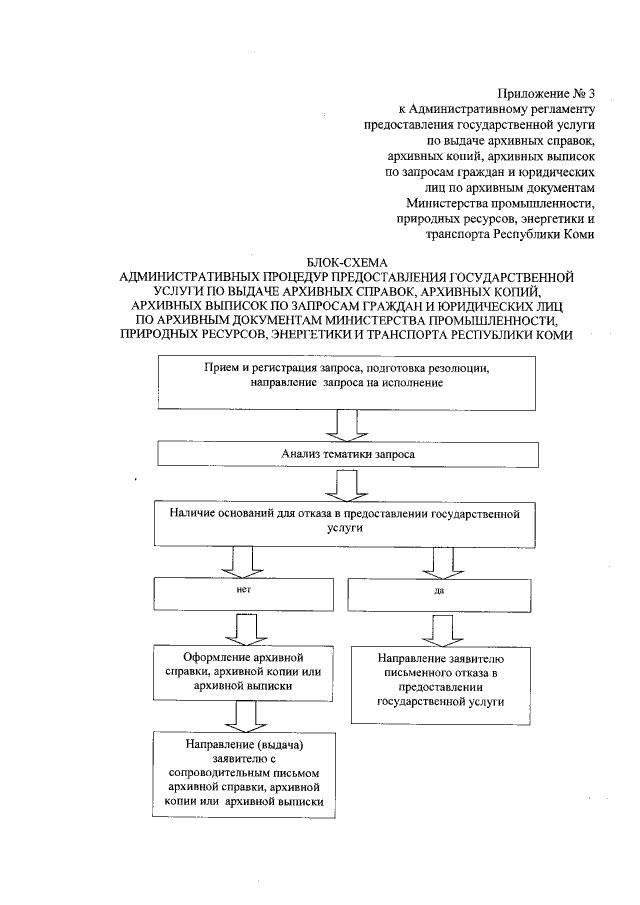
"Об утверждении Административного регламента предоставления государственной услуги по выдаче архивных справок, архивных копий, архивных выписок по запросам граждан и юридических лиц по архивным документам Министерства промышленности, природных ресурсов, энергетики и транспорта Республики Коми"
Номер опубликования: 1101201707030007
Дата опубликования: 03.07.2017
Страница №32 из 37:
Увеличить