Указ Главы Республики Коми от 03.04.2026 № 23
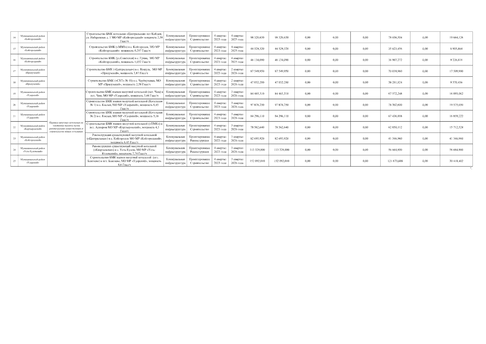
"О внесении изменения в Указ Главы Республики Коми от 2 октября 2023 г. № 106/1 "Об утверждении детализированного перечня мероприятий по модернизации действующих котельных, работающих на угле и мазуте, при их переводе на биотопливо (в том числе пеллеты) и проектированию, строительству новых котельных, работающих на биотопливе, источником финансового обеспечения расходов на реализацию которых являются специальные казначейские кредиты"
"О внесении изменения в Указ Главы Республики Коми от 2 октября 2023 г. № 106/1 "Об утверждении детализированного перечня мероприятий по модернизации действующих котельных, работающих на угле и мазуте, при их переводе на биотопливо (в том числе пеллеты) и проектированию, строительству новых котельных, работающих на биотопливе, источником финансового обеспечения расходов на реализацию которых являются специальные казначейские кредиты"
Номер опубликования: 1100202604070007
Дата опубликования:
07.04.2026
