Официальное опубликование правовых актов
ОФИЦИАЛЬНОЕ ОПУБЛИКОВАНИЕ
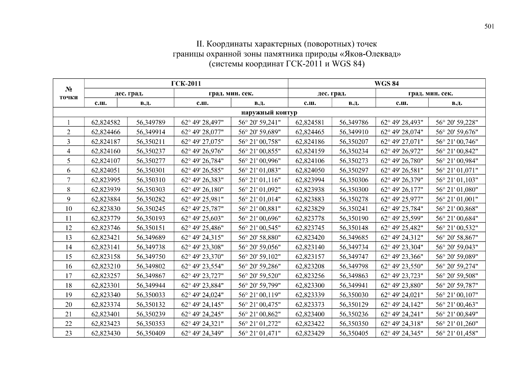
Указ Главы Республики Коми от 28.11.2025 № 101
"Об охранных зонах памятников природы республиканского значения"
Номер опубликования: 1100202512050006
Дата опубликования: 05.12.2025
Страница №501 из 528:
Увеличить