Официальное опубликование правовых актов
ОФИЦИАЛЬНОЕ ОПУБЛИКОВАНИЕ
Постановление Правительства Республики Коми от 24.09.2025 № 288
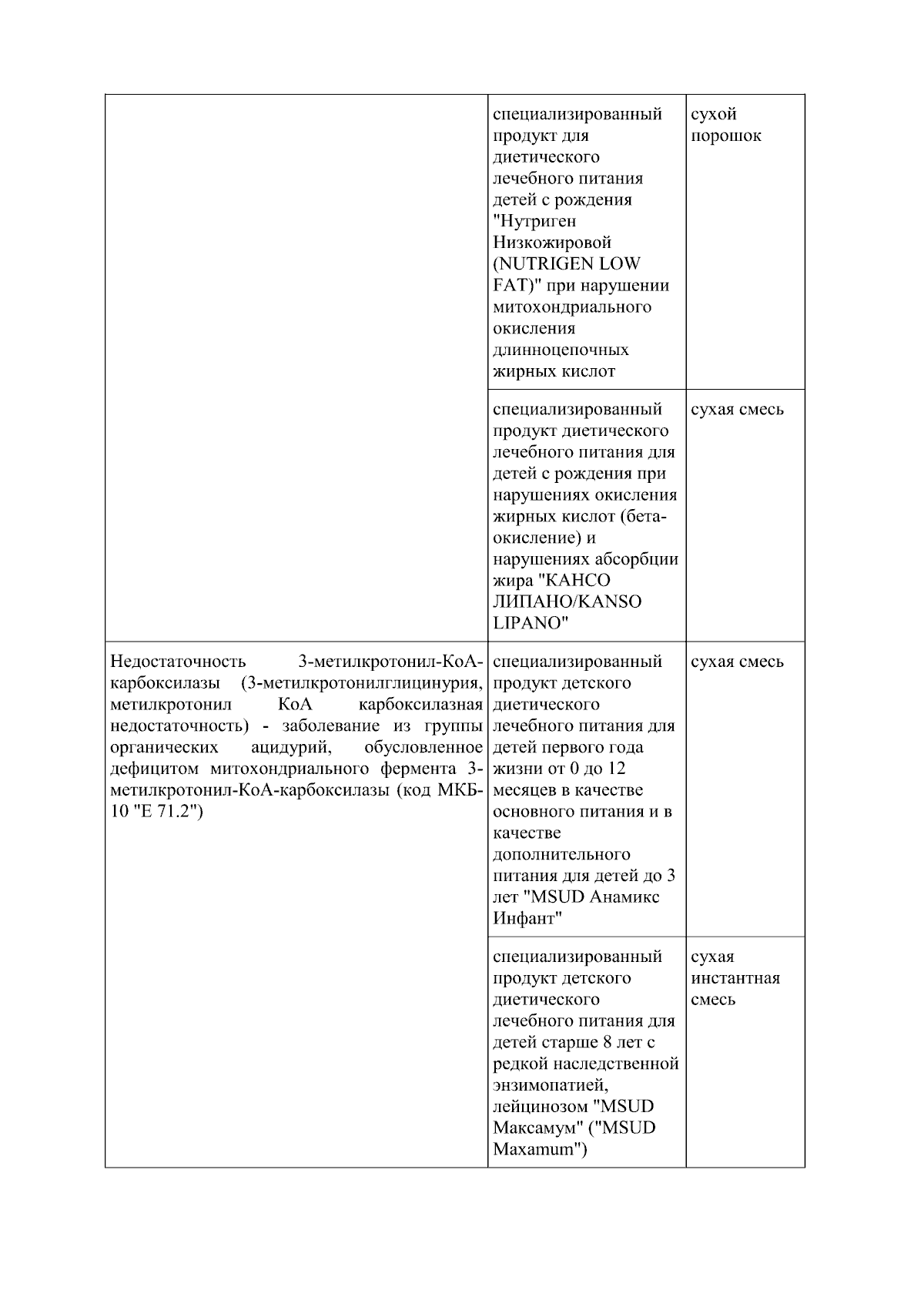
"О внесении изменений в постановление Правительства Республики Коми от 4 февраля 2025 г. № 27 "Об утверждении территориальной программы государственных гарантий бесплатного оказания гражданам медицинской помощи на территории Республики Коми на 2025 год и на плановый период 2026 и 2027 годов"
Номер опубликования: 1100202509260004
Дата опубликования: 26.09.2025
Страница №123 из 195:
Увеличить