Официальное опубликование правовых актов
ОФИЦИАЛЬНОЕ ОПУБЛИКОВАНИЕ
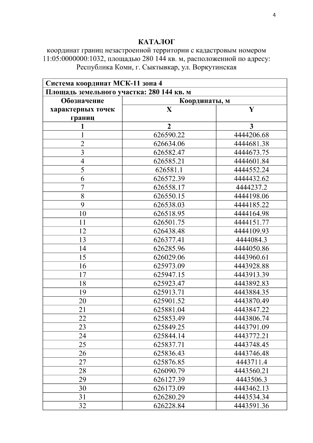
Постановление Правительства Республики Коми от 28.10.2024 № 435
"О комплексном развитии незастроенной территории, расположенной в границах улицы Воркутинской г. Сыктывкар"
Номер опубликования: 1100202410310004
Дата опубликования: 31.10.2024
Страница №4 из 13:
Увеличить