Официальное опубликование правовых актов
ОФИЦИАЛЬНОЕ ОПУБЛИКОВАНИЕ
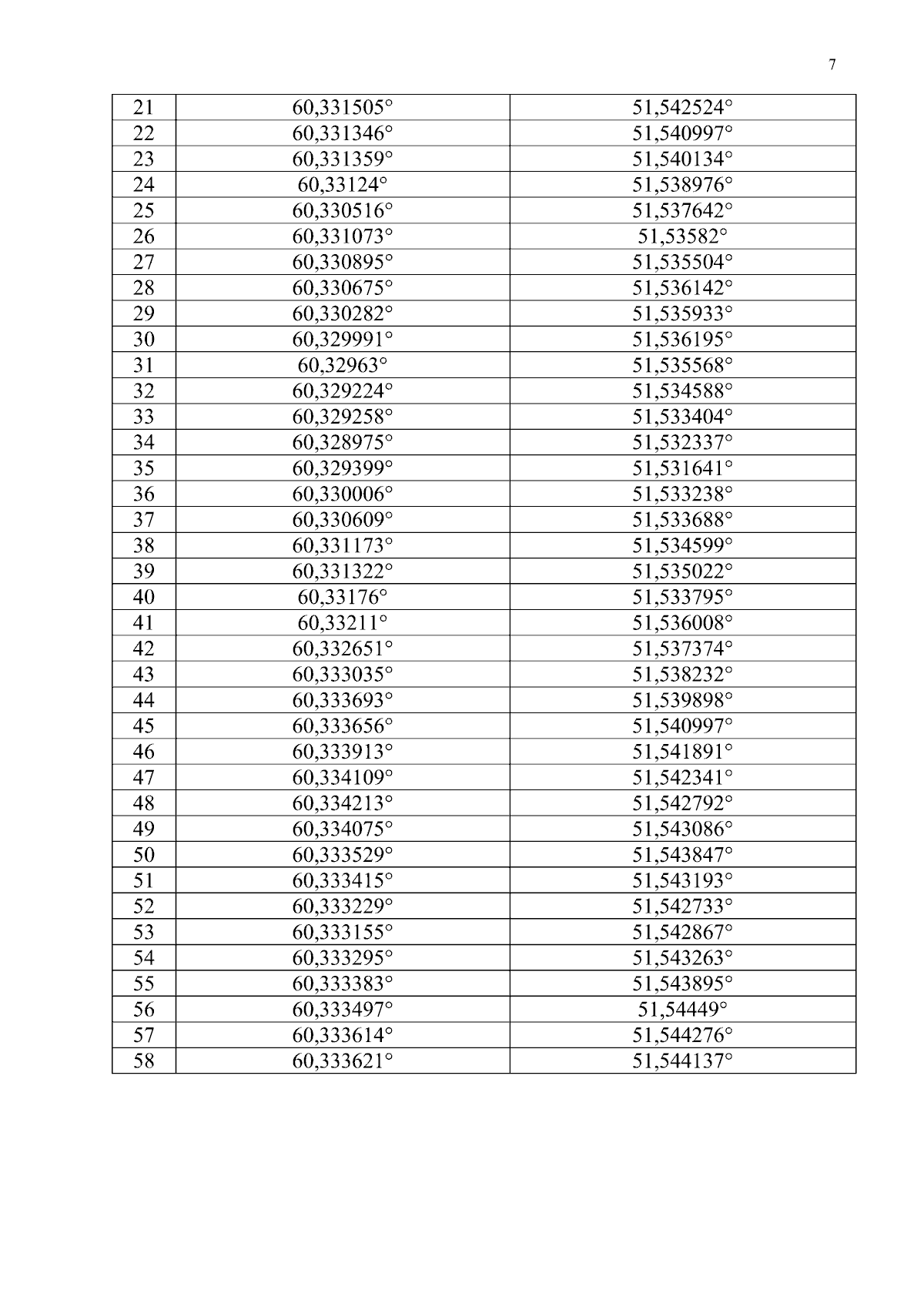
Постановление Правительства Республики Коми от 23.10.2024 № 431
"Об определении границ зон экстренного оповещения населения об угрозе возникновения или о возникновении чрезвычайных ситуаций на территории Республики Коми и о признании утратившим силу распоряжения Правительства Республики Коми от 17 января 2017 г. № 10-р"
Номер опубликования: 1100202410250004
Дата опубликования: 25.10.2024
Страница №7 из 7:
Увеличить