Официальное опубликование правовых актов
ОФИЦИАЛЬНОЕ ОПУБЛИКОВАНИЕ
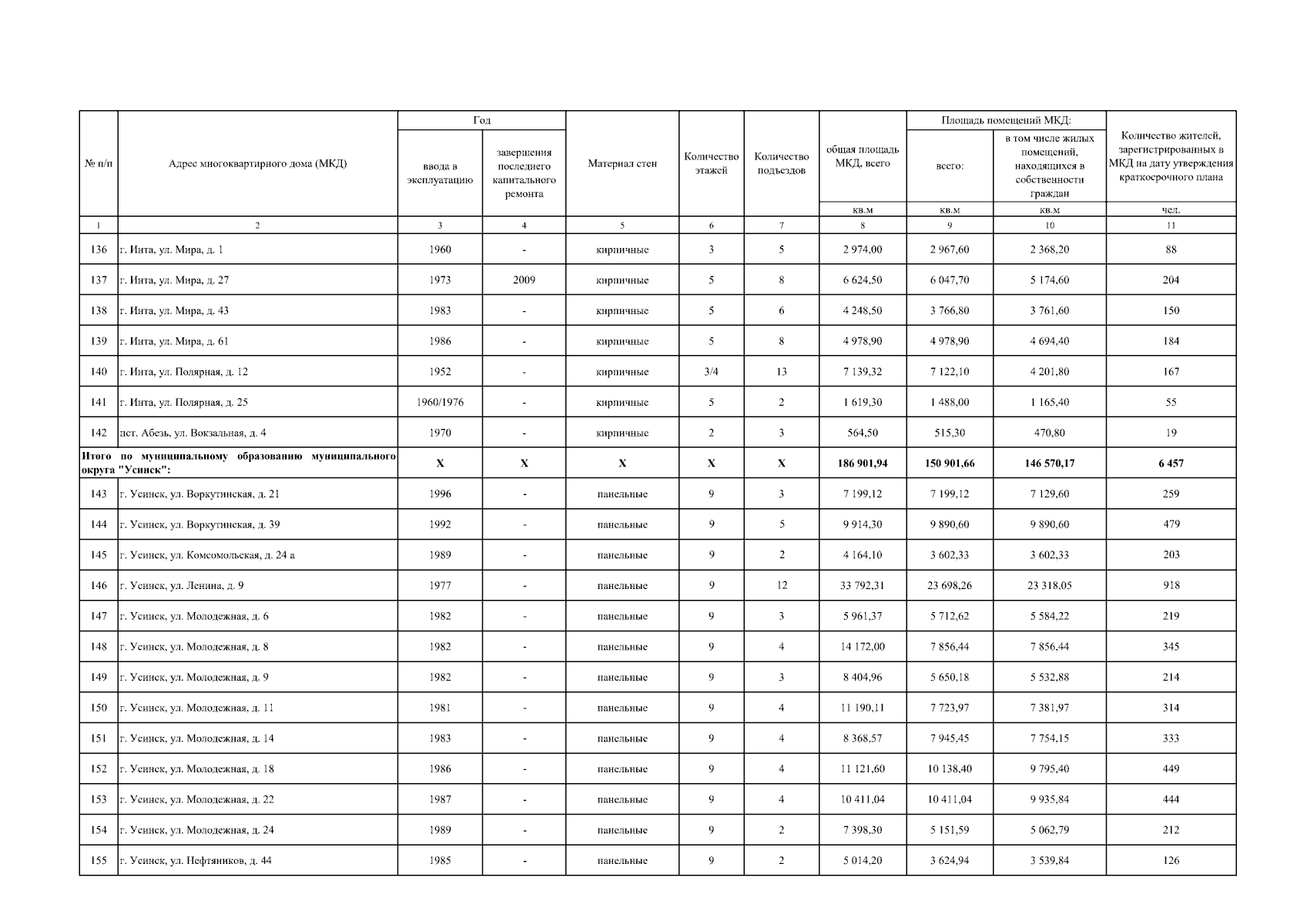
Постановление Правительства Республики Коми от 06.08.2024 № 335
"О внесении изменений в постановление Правительства Республики Коми от 30 июня 2023 г. № 304 "Об утверждении краткосрочного плана реализации региональной программы капитального ремонта общего имущества в многоквартирных домах в Республике Коми на 2024 – 2026 годы"
Номер опубликования: 1100202408070006
Дата опубликования: 07.08.2024
Страница №10 из 100:
Увеличить