Официальное опубликование правовых актов
ОФИЦИАЛЬНОЕ ОПУБЛИКОВАНИЕ
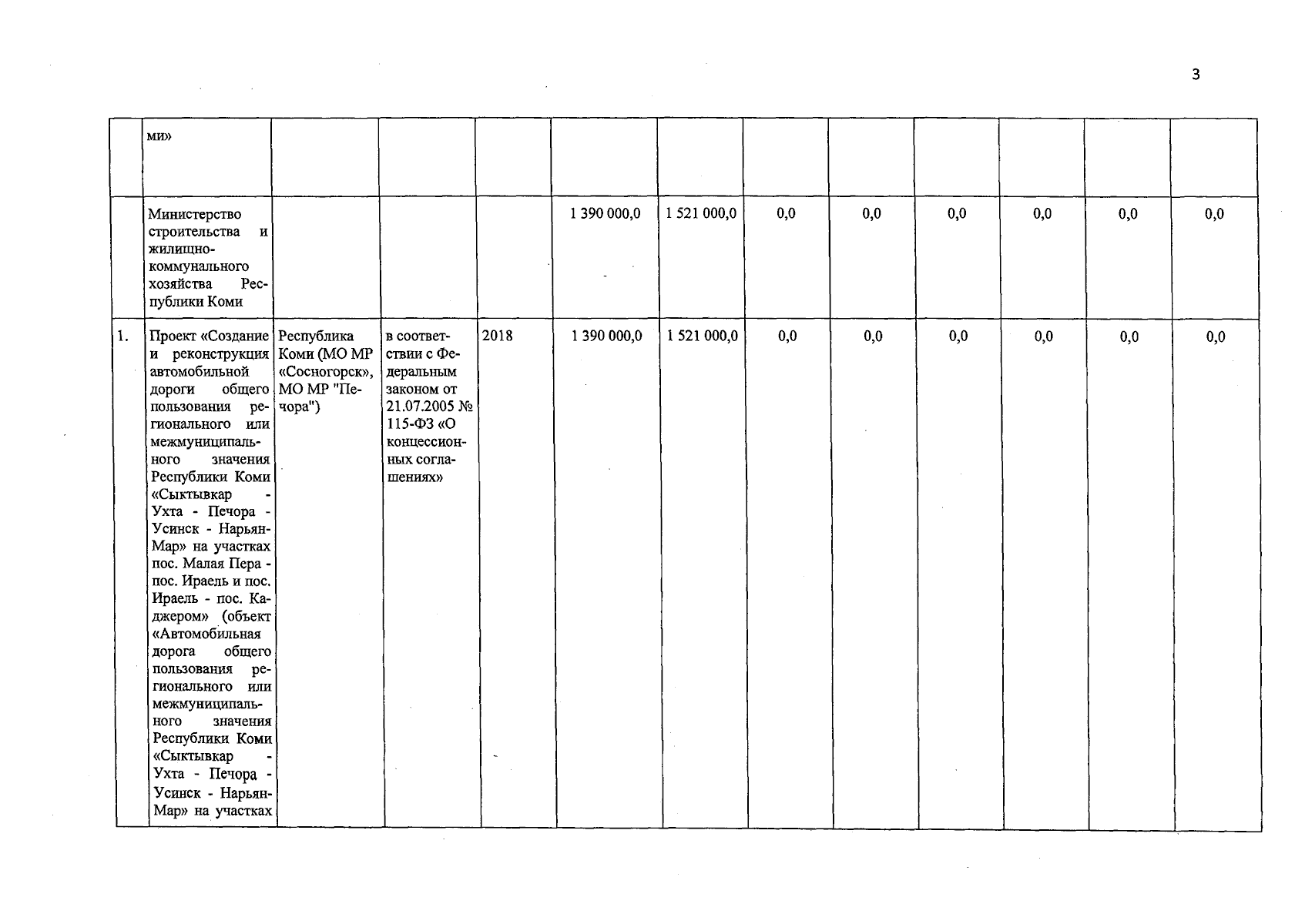
Постановление Правительства Республики Коми от 31.01.2024 № 48
"Об утверждении Перечня инвестиционных проектов, осуществляемых на принципах государственно-частного партнерства за счет средств Инвестиционного фонда Республики Коми на 2024 год и плановый период 2025 – 2026 годов, а также долгосрочный период"
Номер опубликования: 1100202402050003
Дата опубликования: 05.02.2024
Страница №3 из 7:
Увеличить