Официальное опубликование правовых актов
ОФИЦИАЛЬНОЕ ОПУБЛИКОВАНИЕ
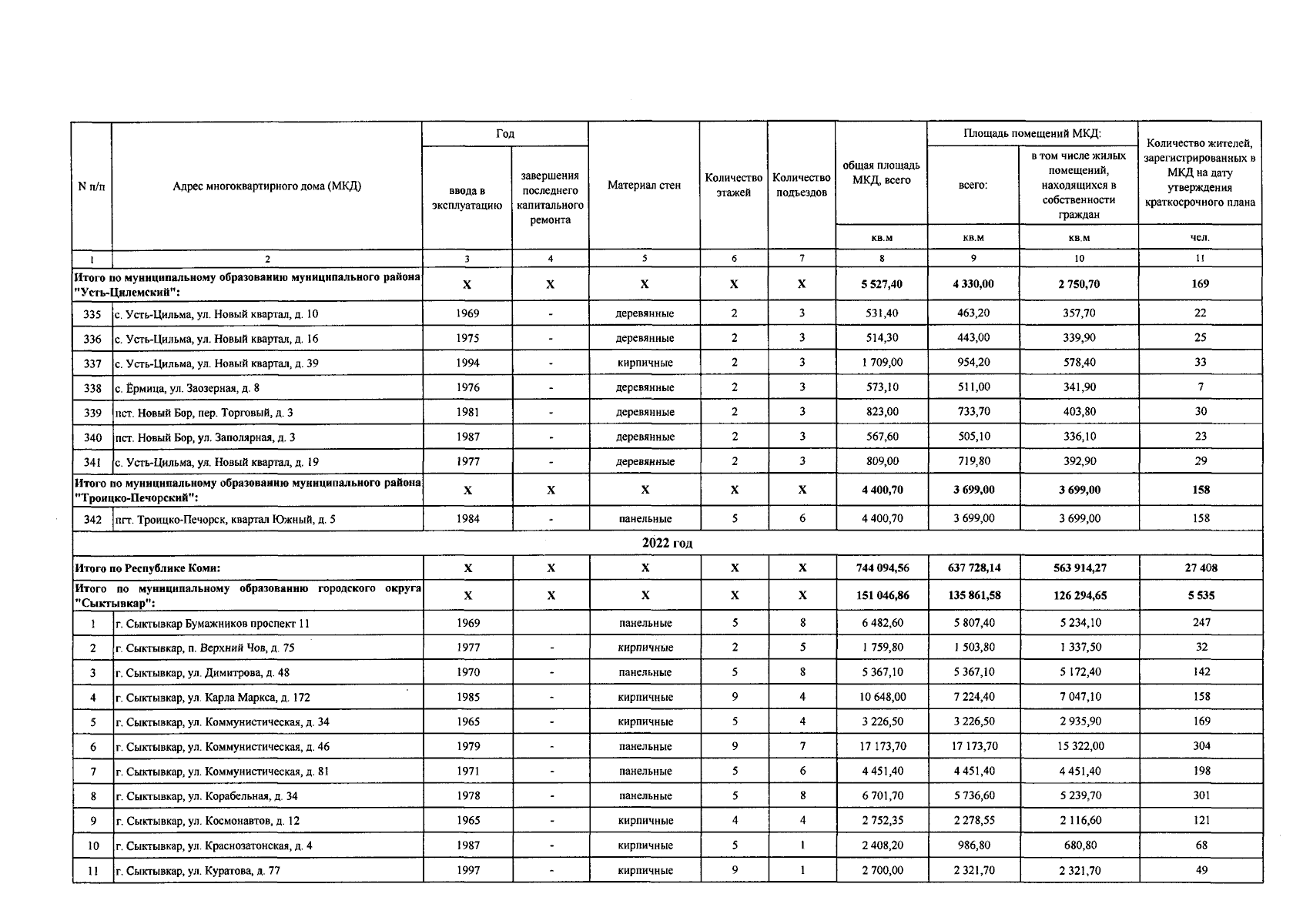
Постановление Правительства Республики Коми от 26.12.2023 № 622
"О внесении изменений в некоторые постановления Правительства Республики Коми"
Номер опубликования: 1100202312290011
Дата опубликования: 29.12.2023
Страница №20 из 168:
Увеличить