Официальное опубликование правовых актов
ОФИЦИАЛЬНОЕ ОПУБЛИКОВАНИЕ
Постановление Правительства Республики Коми от 21.08.2023 № 406
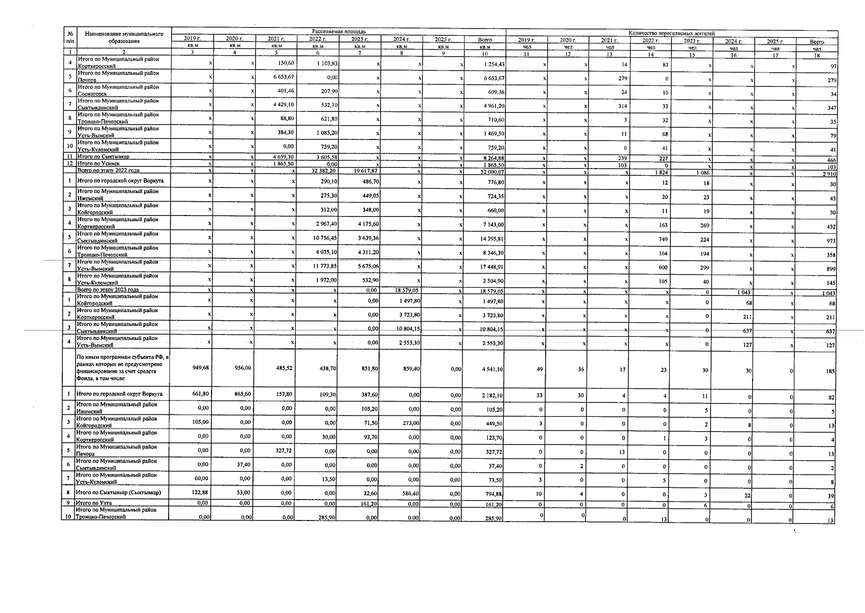
"О внесении изменений в постановление Правительства Республики Коми от 31 марта 2019 г. № 160 "Об утверждении республиканской адресной программы "Переселение граждан из аварийного жилищного фонда в 2019 – 2025 годах"
Номер опубликования: 1100202308290001
Дата опубликования: 29.08.2023
Страница №34 из 37:
Увеличить