Официальное опубликование правовых актов
ОФИЦИАЛЬНОЕ ОПУБЛИКОВАНИЕ
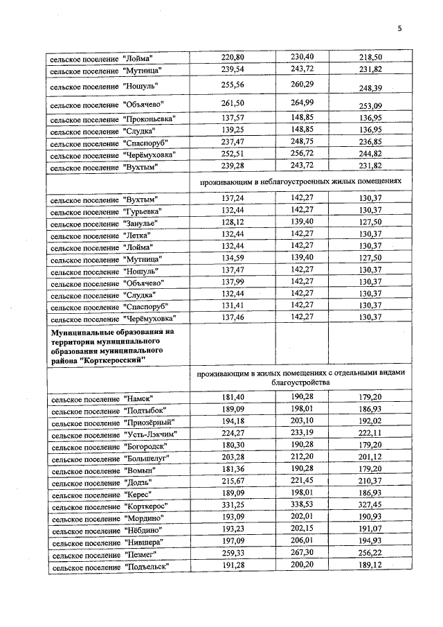
Постановление Правительства Республики Коми от 13.12.2022 № 616
"О внесении изменения в постановление Правительства Республики Коми от 3 июля 2014 г. № 262 "О региональных стандартах оплаты жилого помещения и коммунальных услуг"
Номер опубликования: 1100202212150010
Дата опубликования: 15.12.2022
Страница №5 из 11:
Увеличить