Официальное опубликование правовых актов
ОФИЦИАЛЬНОЕ ОПУБЛИКОВАНИЕ
Постановление Правительства Республики Коми от 08.05.2019 № 219
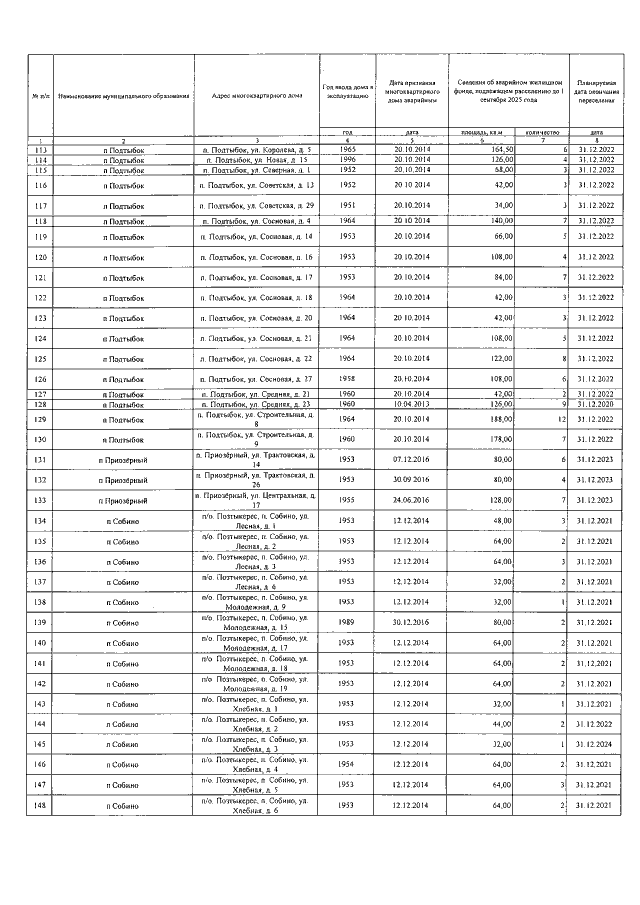
"О внесении изменений в постановление Правительства Республики Коми от 31 марта 2019 г. № 160 "Об утверждении республиканской адресной программы "Переселение граждан из аварийного жилищного фонда в 2019 – 2025 годах"
Номер опубликования: 1100201905160004
Дата опубликования: 16.05.2019
Страница №20 из 63:
Увеличить