Официальное опубликование правовых актов
ОФИЦИАЛЬНОЕ ОПУБЛИКОВАНИЕ
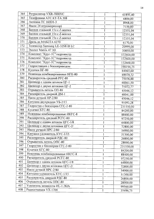
Постановление Правительства Республики Коми от 25.06.2018 № 298
"О создании государственного автономного учреждения Республики Коми "Профессиональная аварийно-спасательная служба" путем изменения типа существующего государственного казенного учреждения Республики Коми "Профессиональная аварийно-спасательная служба"
Номер опубликования: 1100201806290007
Дата опубликования: 29.06.2018
Страница №14 из 47:
Увеличить