Официальное опубликование правовых актов
ОФИЦИАЛЬНОЕ ОПУБЛИКОВАНИЕ
Постановление Правительства Республики Коми от 18.04.2017 № 222
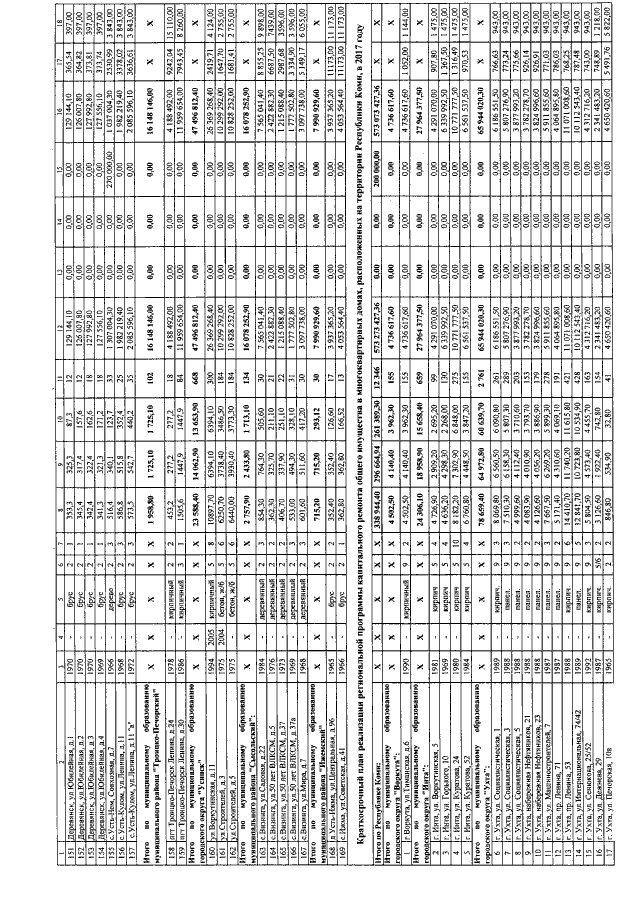
"О внесении изменений в постановление Правительства Республики Коми от 24 августа 2015 г. № 379 "Об утверждении краткосрочного плана реализации региональной программы капитального ремонта общего имущества в многоквартирных домах, расположенных на территории Республики Коми, на 2015 - 2017 годы"
Номер опубликования: 1100201704240002
Дата опубликования: 24.04.2017
Страница №9 из 23:
Увеличить