Официальное опубликование правовых актов
ОФИЦИАЛЬНОЕ ОПУБЛИКОВАНИЕ
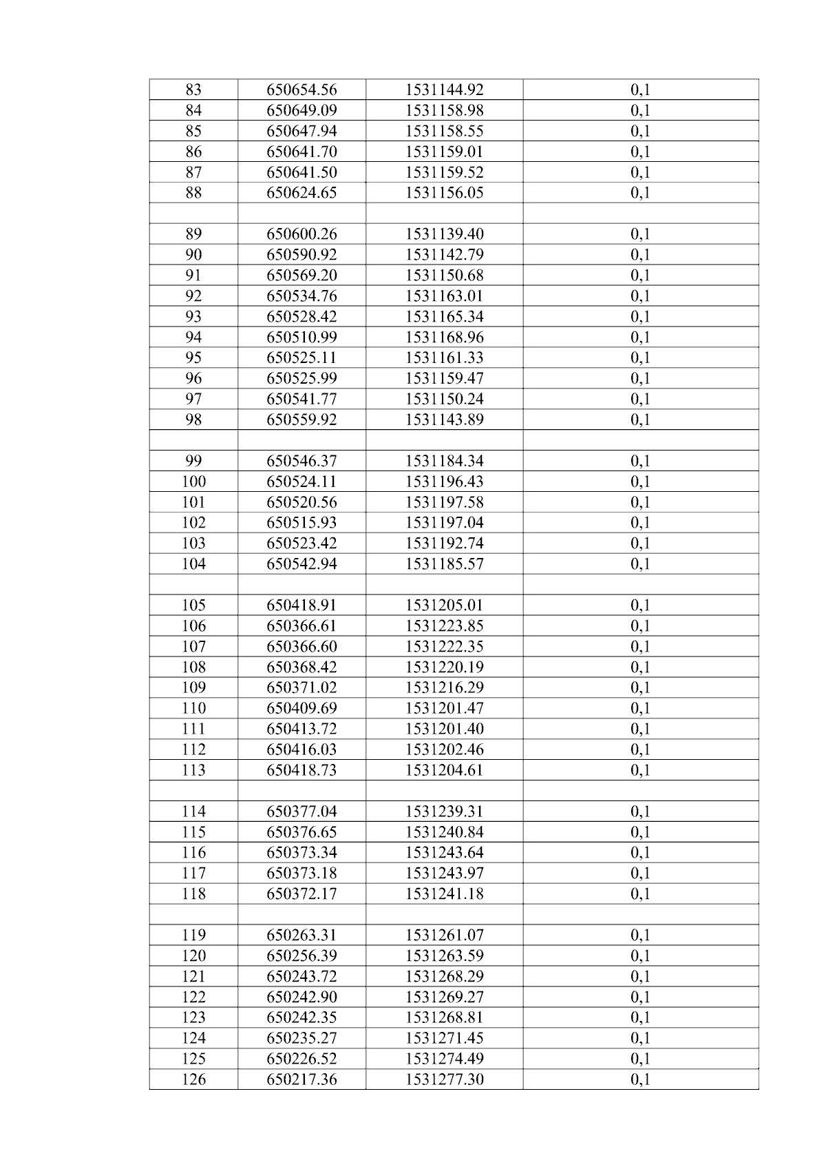
Приказ Министерства имущественных и земельных отношений Республики Карелия от 25.03.2025 № 23/МИЗО-П
"О резервировании земель для государственных нужд Республики Карелия"
(Зарегистрирован 26.03.2025 № 256)
Номер опубликования: 1001202503260006
Дата опубликования: 26.03.2025
Страница №5 из 6:
Увеличить