Официальное опубликование правовых актов
ОФИЦИАЛЬНОЕ ОПУБЛИКОВАНИЕ
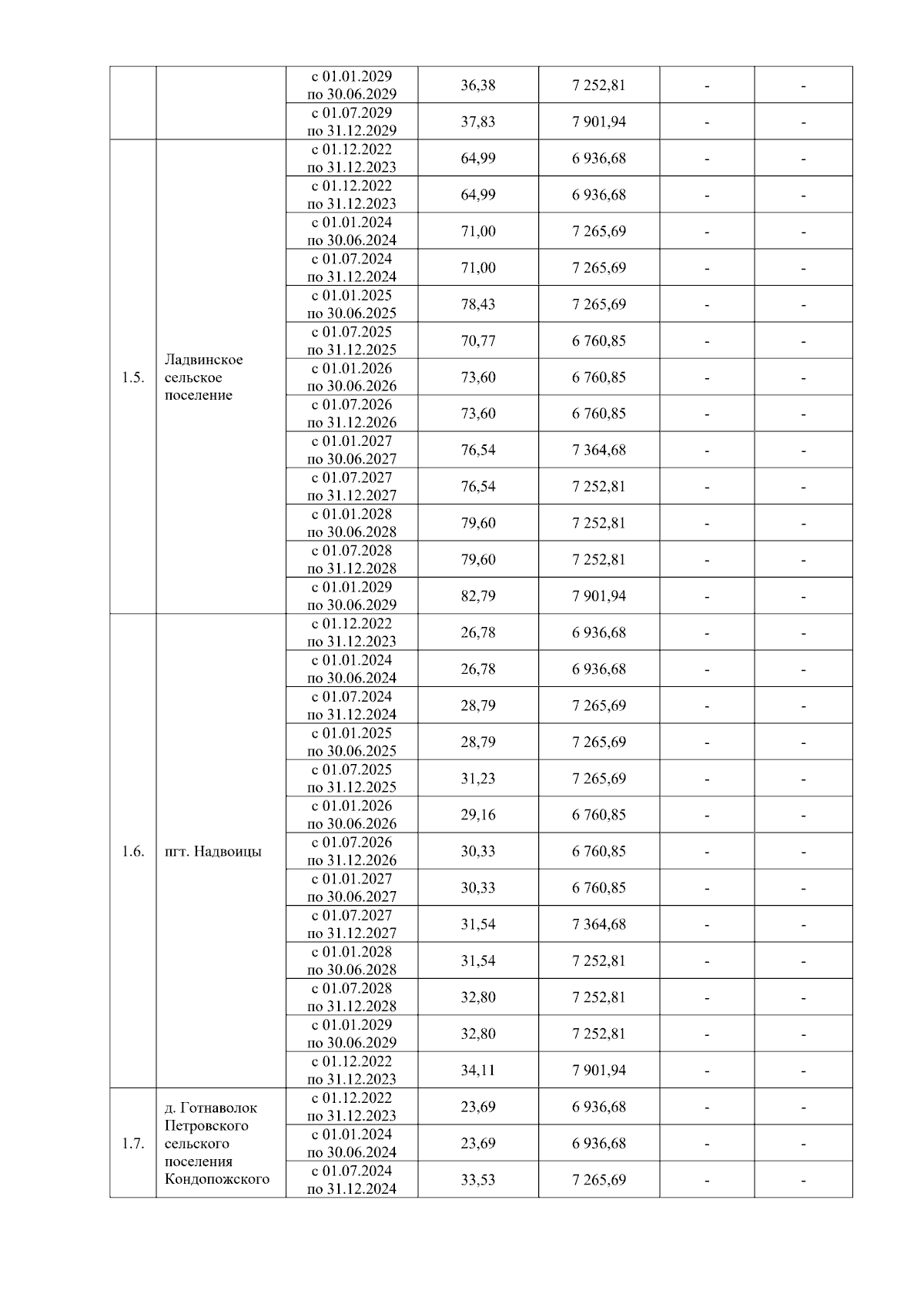
Постановление Государственного комитета Республики Карелия по ценам и тарифам от 20.12.2024 № 259
"О внесении изменений в постановление Государственного комитета Республики Карелия по ценам и тарифам от 28 ноября 2022 года № 204"
(Зарегистрирован 24.12.2024 № 1165)
Номер опубликования: 1001202412250001
Дата опубликования: 25.12.2024
Страница №4 из 6:
Увеличить