Приказ Управления по охране объектов культурного наследия Республики Карелия от 25.03.2024 № 91/УОКН-П
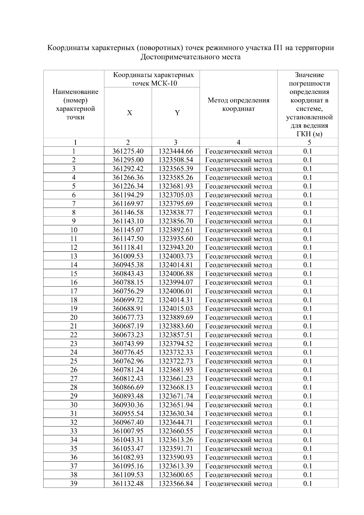
"Об утверждении границ территории объекта культурного наследия регионального значения - достопримечательное место «Карьер мраморных ломок», расположенного по адресу: Республика Карелия, г. Сортавала, п. Рускеала, установлении требований к осуществлению деятельности и требований к градостроительным регламентам в границах его территории"
(Зарегистрирован 26.03.2024 № 256)
"Об утверждении границ территории объекта культурного наследия регионального значения - достопримечательное место «Карьер мраморных ломок», расположенного по адресу: Республика Карелия, г. Сортавала, п. Рускеала, установлении требований к осуществлению деятельности и требований к градостроительным регламентам в границах его территории"
(Зарегистрирован 26.03.2024 № 256)
Номер опубликования: 1001202403260002
Дата опубликования:
26.03.2024
