Официальное опубликование правовых актов
ОФИЦИАЛЬНОЕ ОПУБЛИКОВАНИЕ
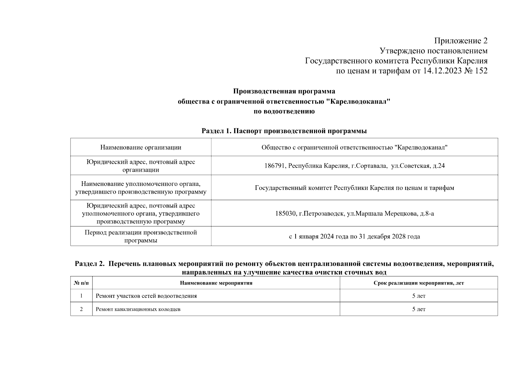
Постановление Государственного комитета Республики Карелия по ценам и тарифам от 14.12.2023 № 152
"О тарифах общества с ограниченной ответственностью "Карелводоканал" на питьевое водоснабжение и водоотведение"
(Зарегистрирован 18.12.2023 № 1071)
Номер опубликования: 1001202312200003
Дата опубликования: 20.12.2023
Страница №9 из 16:
Увеличить