Официальное опубликование правовых актов
ОФИЦИАЛЬНОЕ ОПУБЛИКОВАНИЕ
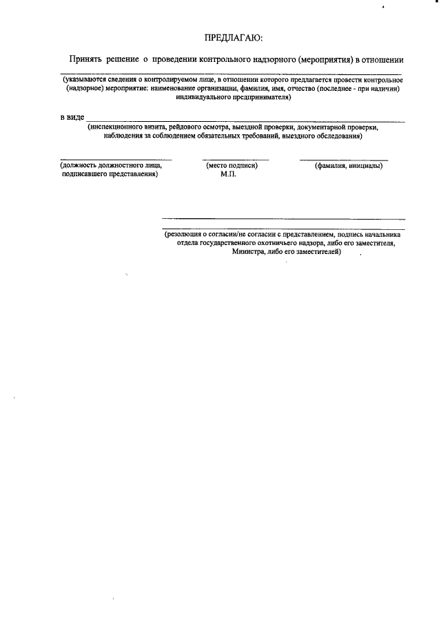
Приказ Министерства природных ресурсов и экологии Республики Карелия от 01.07.2022 № 1241
"Об утверждении форм документов, используемых при осуществлении федерального государственного охотничьего контроля (надзора), федерального государственного контроля (надзора) в области охраны, воспроизводства и использования объектов животного мира и среды их обитания"
Номер опубликования: 1001202207040001
Дата опубликования: 04.07.2022
Страница №12 из 27:
Увеличить