Приказ Министерства имущественных и земельных отношений Республики Карелия от 31.10.2019 № 190
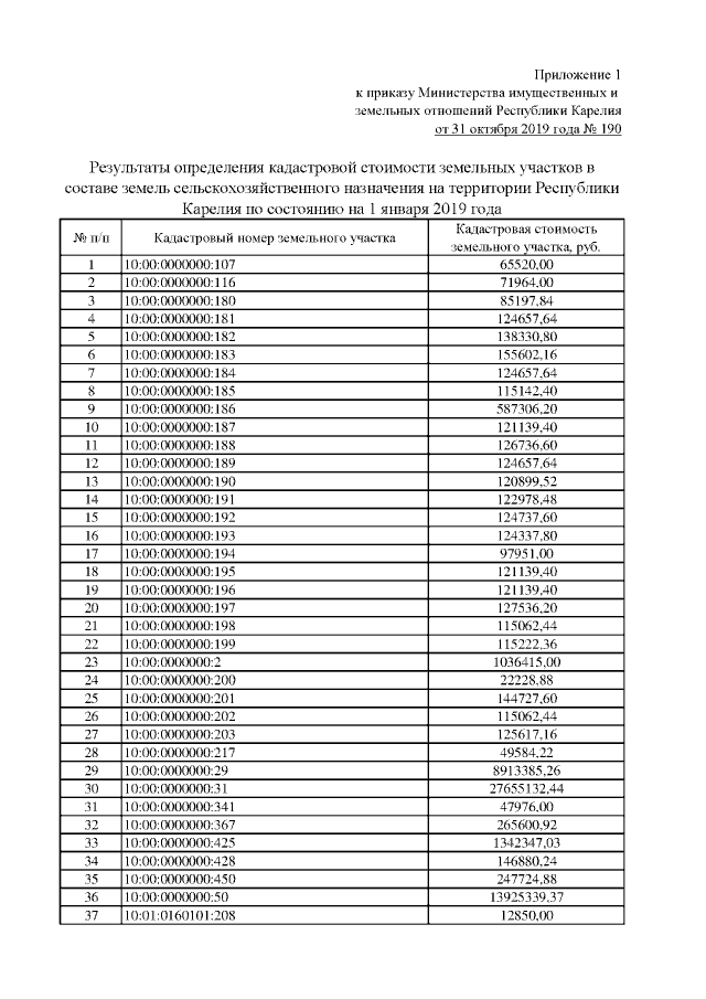
"Об утверждении результатов определения кадастровой стоимости земельных участков, находящихся в составе земель сельскохозяйственного назначения, расположенных на территории Республики Карелия"
"Об утверждении результатов определения кадастровой стоимости земельных участков, находящихся в составе земель сельскохозяйственного назначения, расположенных на территории Республики Карелия"
Номер опубликования: 1001201911070003
Дата опубликования:
07.11.2019
