Официальное опубликование правовых актов
ОФИЦИАЛЬНОЕ ОПУБЛИКОВАНИЕ
Приказ Управления Республики Карелия по обеспечению деятельности мировых судей от 19.09.2019 № 101
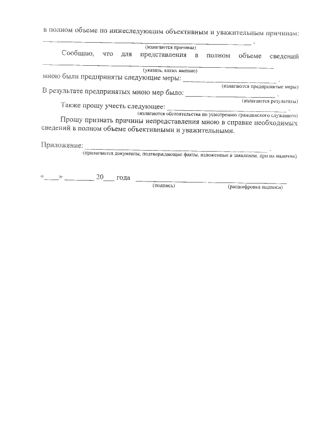
"О порядке поступления заявлений государственных гражданских служащих Управления Республики Карелия по обеспечению деятельности мировых судей о невозможности по объективным причинам представлять сведения о доходах, об имуществе и обязательствах имущественного характера своих супруги (супруга) и несовершеннолетних детей"
Номер опубликования: 1001201909230009
Дата опубликования: 23.09.2019
Страница №5 из 5:
Увеличить