Официальное опубликование правовых актов
ОФИЦИАЛЬНОЕ ОПУБЛИКОВАНИЕ
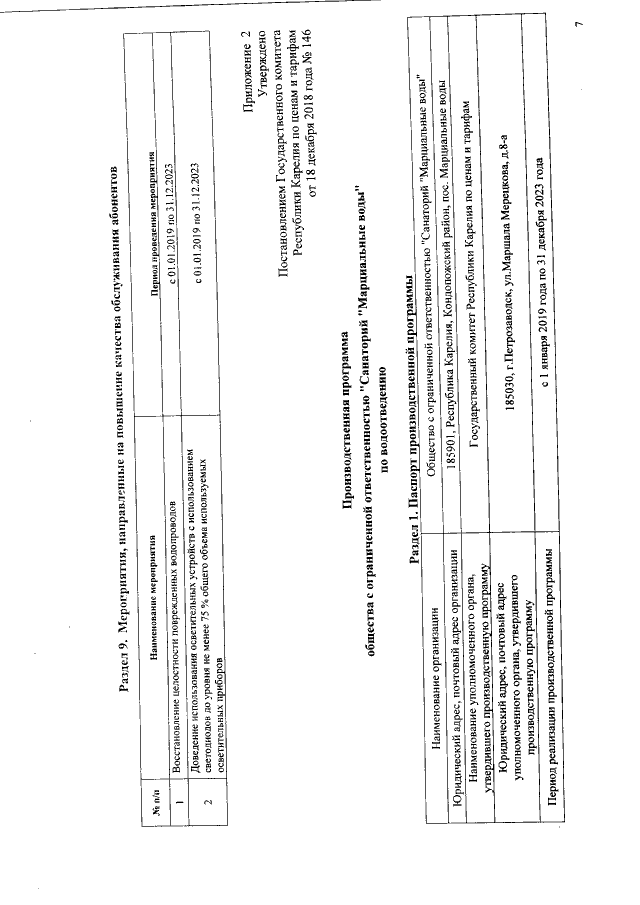
Постановление Государственного комитета Республики Карелия по ценам и тарифам от 18.12.2018 № 146
"О тарифах общества с ограниченной ответственностью "Санаторий "Марциальные воды" на питьевое водоснабжение и водоотведение (территория оказания услуг – Петровское сельское поселение Кондопожского муниципального района)"
Номер опубликования: 1001201812240015
Дата опубликования: 24.12.2018
Страница №7 из 13:
Увеличить