Официальное опубликование правовых актов
ОФИЦИАЛЬНОЕ ОПУБЛИКОВАНИЕ
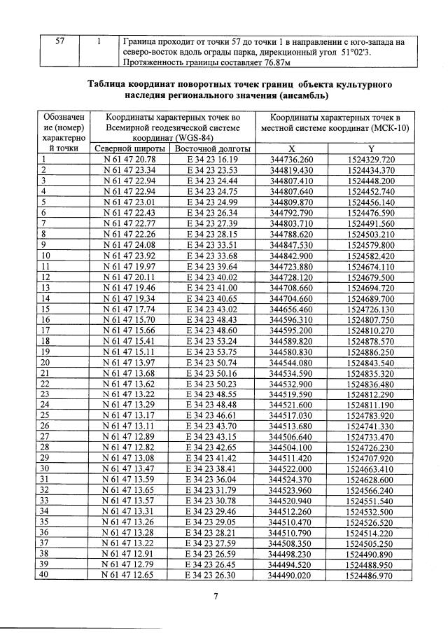
Приказ Управления по охране объектов культурного наследия Республики Карелия от 17.08.2018 № 141
"О включении выявленного объекта культурного наследия в единый государственный реестр объектов культурного наследия (памятников истории и культуры) народов Российской Федерации в качестве объекта культурного наследия регионального значения (ансамбль) и утверждении границ его территории"
Номер опубликования: 1001201808200003
Дата опубликования: 20.08.2018
Страница №7 из 11:
Увеличить