Официальное опубликование правовых актов
ОФИЦИАЛЬНОЕ ОПУБЛИКОВАНИЕ
Приказ Министерства социальной защиты Республики Карелия от 01.12.2017 № 662-П
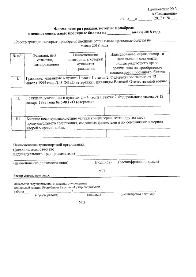
"О проведении отбора организаций общественного транспорта на предоставление в 2018 году субсидий из бюджета Республики Карелия на компенсацию части потерь в доходах организациям общественного транспорта в связи с оказанием мер социальной поддержки отдельным категориям граждан"
Номер опубликования: 1001201712050003
Дата опубликования: 05.12.2017
Страница №15 из 16:
Увеличить