Официальное опубликование правовых актов
ОФИЦИАЛЬНОЕ ОПУБЛИКОВАНИЕ
Постановление Правительства Республики Карелия от 11.02.2025 № 45-П
"О внесении изменений в постановление Правительства Республики Карелия от 28 декабря 2024 года № 484-П"
Номер опубликования: 1000202502130003
Дата опубликования: 13.02.2025
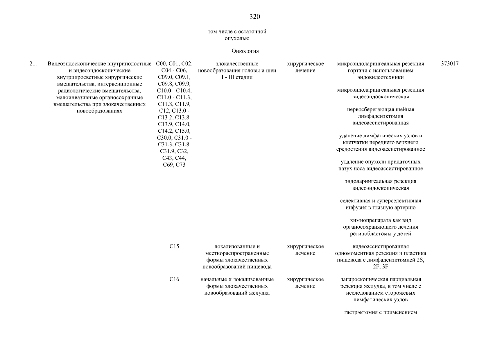
Страница №320 из 419:
Увеличить