Официальное опубликование правовых актов
ОФИЦИАЛЬНОЕ ОПУБЛИКОВАНИЕ
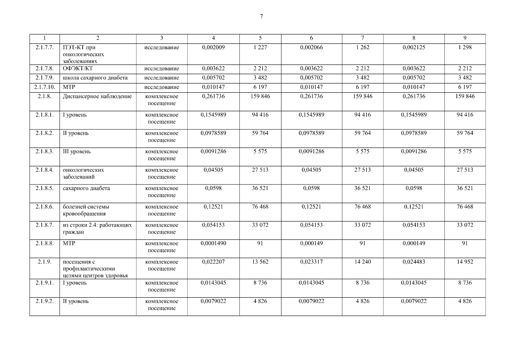
Постановление Правительства Республики Карелия от 28.12.2024 № 484-П
"О Территориальной программе государственных гарантий бесплатного оказания гражданам Российской Федерации медицинской помощи в Республике Карелия на 2025 год и на плановый период 2026 и 2027 годов"
Номер опубликования: 1000202412280005
Дата опубликования: 28.12.2024
Страница №46 из 643:
Увеличить