Официальное опубликование правовых актов
ОФИЦИАЛЬНОЕ ОПУБЛИКОВАНИЕ
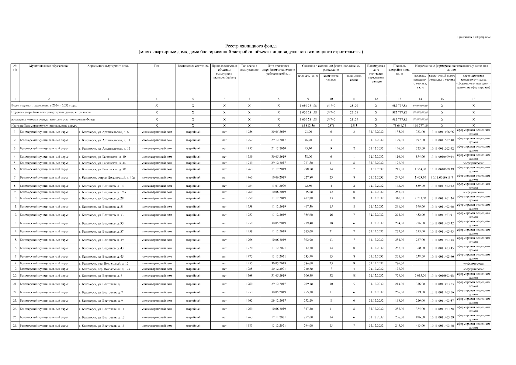
Постановление Правительства Республики Карелия от 22.04.2024 № 124-П
"О Региональной адресной программе по переселению граждан из аварийного жилищного фонда на 2024 – 2032 годы"
Номер опубликования: 1000202404240001
Дата опубликования: 24.04.2024
Страница №15 из 130:
Увеличить