Официальное опубликование правовых актов
ОФИЦИАЛЬНОЕ ОПУБЛИКОВАНИЕ
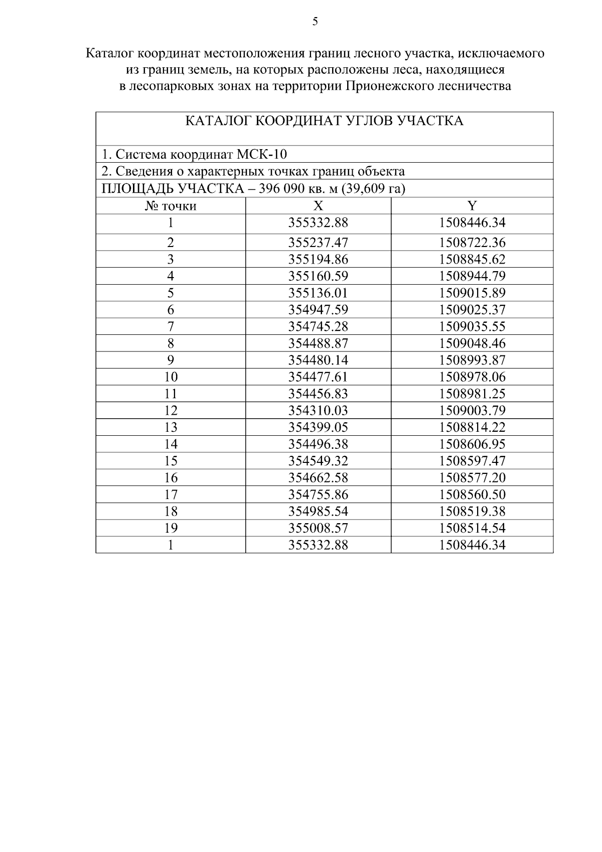
Постановление Правительства Республики Карелия от 29.03.2024 № 96-П
"Об изменении границ земель, на которых расположены леса, находящиеся в лесопарковых зонах на территории Прионежского лесничества Республики Карелия"
Номер опубликования: 1000202404010003
Дата опубликования: 01.04.2024
Страница №7 из 25:
Увеличить