Официальное опубликование правовых актов
ОФИЦИАЛЬНОЕ ОПУБЛИКОВАНИЕ
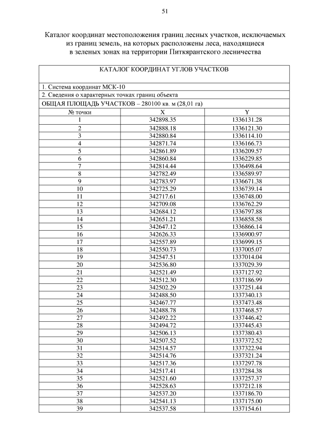
Постановление Правительства Республики Карелия от 05.05.2023 № 220-П
"Об изменении границ земель, на которых расположены леса, находящиеся в зеленых зонах на территории Питкярантского лесничества Республики Карелия"
Номер опубликования: 1000202305100006
Дата опубликования: 10.05.2023
Страница №53 из 77:
Увеличить