Официальное опубликование правовых актов
ОФИЦИАЛЬНОЕ ОПУБЛИКОВАНИЕ
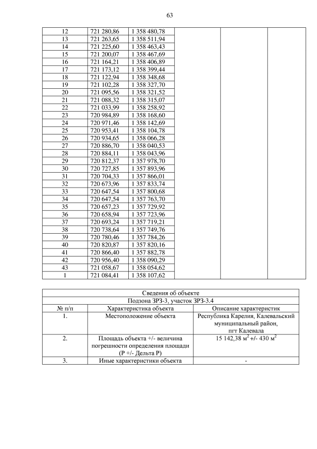
Постановление Правительства Республики Карелия от 21.03.2023 № 126-П
"Об установлении объединенной зоны охраны объектов культурного наследия, расположенных на территории пгт Калевала, и утверждении требований к градостроительным регламентам в границах территорий данной зоны"
Номер опубликования: 1000202303210003
Дата опубликования: 21.03.2023
Страница №64 из 290:
Увеличить