Официальное опубликование правовых актов
ОФИЦИАЛЬНОЕ ОПУБЛИКОВАНИЕ
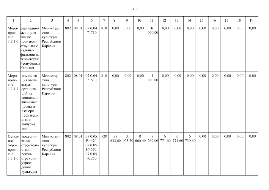
Постановление Правительства Республики Карелия от 15.02.2023 № 75-П
"О внесении изменений в постановление Правительства Республики Карелия от 30 августа 2014 года № 278-П"
Номер опубликования: 1000202302170001
Дата опубликования: 17.02.2023
Страница №40 из 80:
Увеличить